C先生:さてと、先日はサリチル酸の構造式を描くところまで進んだが、今日は何を取り挙げようか。 サリチル酸の関連でアスピリン(アセチルサリチル酸)を取り上げてみよう。 A君:アスピリンですか。 相当有名なお薬なので、Webを漁ればごまんと情報が出てきますよ。 わざわざこのブログで取り上げるのもおこがましいくらい今更とは思いますが。 Bさん概要 〈薬理・生理研究試薬〉〈中枢神経系作用物質〉〈解熱性鎮痛作用物質〉アスピリンの名で知られている代表的な下熱鎮痛,抗炎症薬であるが、プロスタグランジン生合成阻害作用もある。 薬理作用としては、1上昇した体温調節中枢のセットポイントを正常レベルまで低下させることにより解熱効果が生じる。 2視床下部に作用することにより鎮痛作用を発揮高校化学「化学反応式の作り方・計算問題」完全マスター講座!! 未定係数法化学反応式の係数を決定する裏技のやり方を大公開! 化学の基本法則まとめ!(定比例・倍数比例・アボガドロ・質量保存・気体反応) 定比例の法則とは?
サリチル酸の構造 性質 製法 反応
アスピリン 化学 構造 式
アスピリン 化学 構造 式-CnH2n2O *アルコールまたはエーテル CnH2n4O *ケトンketone(不飽和度1) ☞燃焼の化学反応式:CnH2n4O (5n2)/4・O2→nCO2(n4)/2・H2O CnH2n *アルケン alkene アルカン・アルケン・アルキンにはそれぞれメタンCH4・エタンC2H6のような同族体が存在 CnH2n1 *アルキル基*alkyl group アルカンCnH2n2からH原子が113年6月10日 日本重化学工業株式会社 岩手地熱株式会社、地熱エンジニアリング株式会社および当社は、松尾八幡平地域構造試錐井mh1掘削工事 を開始するにあたり、平成25年5月29日に、現地掘削基地内において、開坑式と安全祈願祭を実施いたしました。 当日は、 地元八幡平市の田村市長 様


正誤情報 炭素はすごい Sbクリエイティブ
· 分子内の原子の優先順位をつけるためのアルゴリズムの1つで,最も広く使われているものが「 Morganアルゴリズム 」と呼ばれるものになります.Morganアルゴリズムでは,原子の結合価(connectivity values)を反復によって決定していきます.具体的な手順は以下のようになります. 文字だけではまったくわからないと思いますので,以下ではアスピリンを例に見てみかし,化学構造式のtex/latex 文書への組み込み については,効率的な方法がないままであった. 化学,とくに有機化学では,化学構造式を文書に 含めることは必須のことなので,この入門書の執筆 が終わってから,化学構造式をtex/latex 文書に・化学シフト 横軸( ppm )に相当する。化学シフトより、原子団の推定が可能 1H の化学シフトは10 ppm程度の範囲 ※ おのおのの原子団の現れる化学シフトの範囲は目安であり、この範囲に入 らない場合もあるので注意する。 10 5 0 δ sp3 メチン
上記5種の薬剤の構造を,化学構造式の描画ソ フトとして最も広く利用されているChemBioDraw (米PerkinElmer社製)で作図し,OHPシートに 印刷して用意した(図1)。表示する化学構造 は,化学基礎で既出の化学結合に関する規則にDepositphotosが提供する何万ものプレミアム高画質ストック写真、ベクターイメージやイラストレーションは、ロイヤリティフリーのアセチルサリチル酸 (アスピリン)、ベクトル、2 d イラストレーション、白い背景で隔離の構造の化学式 ストックベクター 今すぐダウンロードサリチル酸は、示性式 oc 6 h 4 (oh)cooh で表される物質で、ベンゼンのオルト位にヒドロキシ基とカルボキシ基が結合した構造をしています。 防腐剤、医薬品など身近に用いられる重要な物質の一つです。 このページでは、サリチル酸の構造・性質・製法・反応について説明しています。
どうも、受験化学コーチわたなべです。 構造決定というのは、理系受験生が避けては通れない所ではあります。 で、問題演習や、解き方を学んで行きます。 しかし、それ以前に、 「構造式がなんなのか、」 「示性式がなんなのか、」Patcore, Inc 技術ブログ第一回目では、化学構造式描画ツールについて紹介します。 海外の方々とコミュニケーションをとる際には、言葉の壁が存在します。文化による表現の違いや、微妙なニュアンスの違いにより、苦労された経験がないでしょうか。 化学の世界では、幸いなことに化学構造膜たんぱく質は一般に立体構造が崩れ易い(立体構造安定性が低い)ため取り扱いが難しく、大量調製が困難だったことをうけて開発された、膜たんぱく質を耐熱化させて立体構造を崩れ難くするアミノ酸置換を統計熱力学理論に基づいて短時間で予測する手法(Yasuda et al, J Phys Chem B 16)。


サリチル酸メチルとアセチルサリチル酸それぞれの性質と覚え方 化学受験テクニック塾


アセチルサリチル酸 アスピリンの化学式 アセチル化 2次元ベクトル図では 白い背景で隔離の化学反応の合成のイラスト素材 ベクタ Image
文献「アスピリン化学センサのための認識要素としての電気化学的に合成した分子刷込ポリチオフェンナノ構造Powered by NICT」の詳細情報です。JGLOBAL 科学技術総合リンクセンターは研究者、文献、特許などの情報をつなぐことで、異分野の知や意外な発見などを支援する新しいサービ2次元構造 構造式(SymixDrawを用いた分子の描画) 構造式の表記法:Smiles Simplified molecular input line entry specification syntax)とは、分子の化学構造をASCII符号の英数字 で文字列化した構造の曖昧性の無い表記方法 (例)バニリン (例)ダイオキシン化学構 造式 葉酸の 化学構造 式 o oh o ho ho hn ho o n n 血 nh s o o o o スだ o o o n hn o h 2 n n hn o h 2 n o n 解 cl o oh n n ー よ う o 基基本 格 冷 o 安 n ド ho ho 子 474 分 子 量 427 分 381 362 分子量 393 分子量 4 361 324 358 分子 287 分子量 3 分子量179 分子量 246 239 分子量 356 312 分子量 399 448


アセチルサリチル酸 Wikipedia


アスピリン ことり さんのイラスト ニコニコ静画 イラスト
学物質の混合物である場合、どの構造式を描画するのか? A-1-1: 少量新規化学物質の構造式ファイル作成に係る事業者ガイダンス(以下、「ガイダンス」)23,4 図表26のルールに従い、定可能な新規化学物質の構成成分 を描画してください。既存化学物ちゃんとアスピリンが召喚されました。 構造探索 単に出力しただけで満足せず、出力した構造をいろいろいじっていきます。 探索 2種類の化学物質の部分的な構造の一致場所を見ます。Acetylsalicylic acid 商品名 アスピリン (マイラン製薬), アスピリン (丸石製薬), アスピリン (健栄製薬), アスピリン (吉田製薬), アスピリン (小堺製薬), アスピリン (山善製薬), アスピリン (山善製薬), アスピリン (日医工) 後発品 アスピリン (マイラン製薬), アスピリン (全星薬品工業), アスピリン (全星薬品工業), アスピリン


アセチルサリチル酸エチル 529 68 0


サリチル酸
Acetylsalicylic acid 商品名 アスピリン (マイラン製薬), アスピリン (丸石製薬), アスピリン (健栄製薬), アスピリン (吉田製薬), アスピリン (小堺製薬), アスピリン (山善製薬), アスピリン (山善製薬), アスピリン (日医工) 後発品 アスピリン (マイラン製薬), アスピリン (全星薬品工業), アスピリン (全星薬品工業), アスピリン構造情報あり 分子式: c 9 h 8 o 4 分子式フリガナ: c9h8o4 分子量:プロスタグランジンE 1 (PGE 1) の構造式 プロスタグランジン (PG) 類の化学構造は全て プロスタン酸 (右図)を共通の基本骨格として有しており、五員環部分に結合する 官能基 や 二重結合 の有無によりAJ群に分けられ、側鎖部分の二重結合数により13群に区別される。 これらの組み合わせによりプロスタグランジンの命名が行われるのであり、例えばPGE 1 は


有機化学のオキテ29 医学部予備校レクサス教育センター


サリチル酸 とサリチル酸メチルとアセチルサリチル酸 の構造式と医学的利用 Irohabook
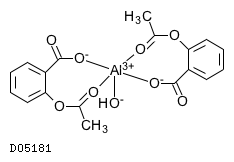
生成熱=右辺左辺① 燃焼熱=左辺右辺② 結合エネルギー=右辺左辺③ というものを教わりました。KEGG DRUG アスピリンアルミニウム エントリ D Drug 一般名 アスピリンアルミニウム (JP17);アスピリン ( アセチルサリチル酸、図 1 ) は、17 年にドイツバイエルン社のフェリ ックス・ホフマン博士が、世界で始めて安定かつ高純度で化学合成した物質であり、解熱鎮 痛薬として世界中で利用


サリチル酸メチルとアセチルサリチル酸それぞれの性質と覚え方 化学受験テクニック塾


サリチル酸の構造 性質 製法 反応
この論文はアミノ酸システインの化学構造を詳述している。 物質の構造式を書くためのいくつかの選択肢があります。 システインの関与によるトリペプチドの形成についての2つのスキームが与えられる。 チオール基に注意を払う。 メチオニンからシステインの合成が考えられる。 · 化学 アスピリン子構造式を書き アスピリン子構造式を書き どの官能基が酸性を示すの説明し 解熱作用や鎮痛作用がある薬とした 歴史的背景を踏まえて説明せよ。Acetylsalicylic acid 商品名 アスピリン (マイラン製薬), アスピリン (丸石製薬), アスピリン (健栄製薬), アスピリン (吉田製薬), アスピリン (小堺製薬), アスピリン (山善製薬), アスピリン (山善製薬), アスピリン (日医工) 後発品 アスピリン (マイラン製薬), アスピリン (全星薬品工業), アスピリン (全星薬品工業), アスピリン


Smiles記法は化学構造の線形表記法 化学の新しいカタチ


Aspirin 50 78 2 ナミキ商事株式会社
Aspirin aluminum (JP17) 組成式


アセチルサリチル酸 分子構造の化学式と分子モデル アスピリンのベクターアート素材や画像を多数ご用意 Istock


サリチル酸 とサリチル酸メチルとアセチルサリチル酸 の構造式と医学的利用 Irohabook


アスピリン構造式のイラスト素材 ベクタ Image


otcの王者アスピリンのお話


薬はどのように作られるのか 理化学研究所 ライフサイエンス技術基盤研究センター


Yuya T 薬剤師 抗血小板薬としてアスピリンを使用している場合 Nsaidsの併用はセレコキシブが望ましい ことを裏付ける報告があるようです アスピリンはcox 1と共有結合し不可逆的に阻害するので イププロフェンなどのnsaidsの併用は アスピリンのcox 1


有機化学から医農薬探索から製造へと続く道のり アスピリンとpka


アスピリン子構造式を書き アスピリン子構造式を書きどの官能基が酸性 化学 教えて Goo


バファリン配合錠a330 アスピリン ダイアルミネート 効果 副作用のメカニズム


手で描くアスピリン構造式のイラスト素材 ベクタ Image


有機反応を俯瞰する ー縮合反応 Chem Station ケムステ


高校化学 アセチルサリチル酸 練習編 映像授業のtry It トライイット


アスピリンの科学


高校化学 サリチル酸メチル 映像授業のtry It トライイット


アスピリンアルミニウム 80 1


化学物質db Webkis Plus 化学物質詳細情報


正誤情報 炭素はすごい Sbクリエイティブ


アスピリン構造式 No Pain Gain Zine のパーカー通販 Suzuri スズリ


製品詳細


第141章 課題研究ii


イブプロフェン Wikipedia


有機化学から医農薬探索から製造へと続く道のり アスピリンとpka


有機化学 構造式 芳香族 Flashcards Quizlet


Kegg Drug アスピリン


アセチルサリチル酸 Wikipedia


低用量アスピリンを毎日服用するとどんな効果がありますか Quora


アスピリン物語 Ncgm脂質シグナリングプロジェクト


アセチルサリチル酸 アスピリンの化学式 アセチル化 2次元ベクトル図では 白い背景で隔離の化学反応の合成のイラスト素材 ベクタ Image


気ままに創薬化学 超低分子医薬品


Kegg Drug アスピリン


アセチルサリチル酸の合成 アスピリン化学式 アセチル化の化学反応 2dベクターイラスト 白い背景に分離 Eps 8 のベクター画像素材 ロイヤリティフリー


サリチル酸の構造 性質 製法 反応


アセチルサリチル酸 50 78 2


構造式を描くならフリーソフトchemsketch ケムスケッチ を使おう 油について知るためのブログ


アセチルサリチル酸 Wikipedia


アセチルサリチル酸 医療用物質 分子の構造式とモデル 抗炎症薬のイラスト素材 ベクタ Image


Kegg Drug マグネシウムアスピリン


Dl リシン アセチルサリチル酸 06 1


有機化学から医農薬探索から製造へと続く道のり アスピリンとpka


アセチルサリチル酸って エステルなのになぜ 結合を表すとき 構 Yahoo 知恵袋


サリチル酸の構造 性質 製法 反応


薬の変遷 Itシステムのアウトソーシングなら日立医薬情報ソリューションズ


高校化学 アセチルサリチル酸 映像授業のtry It トライイット


5 アセチルサリチル酸メチル 90 4


医薬品分子モデリング勉強会


アスピリンの化学式構造医療ベクトル のイラスト素材 ベクタ Image


O Xrhsths アルファステージ Sto Twitter 毎日コツコツ構造式 薬学生 薬学部 薬剤師国家試験 薬剤師国家試験対策 Cbt Cbt対策 物理化学生物 物化生 化学 有機化学 構造式 化学苦手克服project


サリチル酸がアセチル化されアセチルサリチル酸となる反応式


アスピリン ケンエー


サリチル酸の構造 性質 製法 反応


アスピリン物語 Ncgm脂質シグナリングプロジェクト


高校化学 アセチルサリチル酸 映像授業のtry It トライイット


サリチル酸 とサリチル酸メチルとアセチルサリチル酸 の構造式と医学的利用 Irohabook


アセチルサリチル酸の合成


エテンザミド Wikipedia


アスピリンはピリン系とちゃうで 画像と理屈で解説したるっ けいしゅけのブログ薬局 情報館


サリチル酸 とサリチル酸メチルとアセチルサリチル酸 の構造式と医学的利用 Irohabook


無料ダウンロード 無水酢酸 構造式 人気のある画像を投稿する


アセチルサリチル酸 ニコニ コモンズ


アセチルサリチル酸 アスピリンの化学式 アセチル化 2次元ベクトル図では 白い背景で隔離の化学反応の合成のイラスト素材 ベクタ Image


アセチルサリチル酸 分子濃い青の背景に化学の構造式と分子モデルします アスピリンのベクターアート素材や画像を多数ご用意 Istock


第7回おうちラボで実験してみた 人類初の合成医薬品 アスピリンを合成してみた みくあす令和ラボ


アスピリンの分子構造モデルのイラスト素材 ベクタ Image


Molファイル Sdfとはどんな化学情報ファイルなのか 化学の新しいカタチ


アセチルサリチル酸 化学式ピアス 片耳 Iichi ハンドメイド クラフト作品 手仕事品の通販


Kegg Drug アスピリン


高等学校化学ii 医薬品の化学 Wikibooks


高校化学 アセチルサリチル酸 練習編 映像授業のtry It トライイット


アセチルサリチル酸イラスト No 無料イラストなら イラストac


Kegg Drug アスピリンアルミニウム


無料ダウンロード アスピリン 加水 分解 画像ブログ


アスピリン アセチルサリチル酸 ベクトル 2 D イラストレーション 白い背景で隔離の構造の化学式のイラスト素材 ベクタ Image


h30センター化学第4問 問5 サリチル酸 アセチルサリチル酸 サリチル酸メチルの語呂合わせ 入試化学を語呂合わせで解く大学入試ゴロ化学


くすりと高分子 No 1 薬が効くってどういうこと 高分子未来塾


アセチルサリチル酸メチル 580 02 9


心筋 バーチャルラボラトリ


アセチルサリチル酸 ネックレス 化学式アクセサリー Iichi ハンドメイド クラフト作品 手仕事品の通販


心筋 バーチャルラボラトリ


アセチルサリチル酸 Wikipedia


Kegg Drug アスピリン


Kegg Drug アスピリン


アセチルサリチル酸 化学式ピアス 片耳 Iichi ハンドメイド クラフト作品 手仕事品の通販


カリソプロドールおよびアスピリン ニュース 21


アセトアミノフェン Wikipedia


鎮痛薬化学セット 骨格構造 パラセタ モール Analgine したアセチルサリチル酸 サリチル酸 フェニルブタゾン イブプロフェン Amidopyrine フェナセチン ジメチルスルホキシド ジクロフェナク アセクロフェナク ベクトル Eps 8のイラスト素材 ベクタ


高校有機化学 サリチル酸の製法と性質まとめ 受験の月
